Formulation and Evaluation of Floating Microsphere of Drug Lansoprazole
Volume 1, Issue 1, Pages 10-16
Abstract
Objective:
The present study was aimed to formulate and evaluate floating microspheres of lansoprazole. The research work’s objective was to retain lansoprazole in the stomach for a prolonged period of time, which has absorption window in the upper gastrointestinal tract.
Methods:
The buoyant microspheres were prepared by using various composition of prescribe polymers. These prepared systems was evaluated with various parameters such as the physical properties i.e., flow properties determination, particle size measurement, shape and surface morphology, percentage yield, drug entrapment efficiency, in-vitro buoyancy percentage, in-vitro drug release studies and stability studies.
Results:
The drug (lansoprazole) powder bulk and tapped densities was found to be 0.231 gm/cm3 and 0.238 gm/cm3, respectively. The particle size of unmilled powder was 101 μm. The partition coefficient of lansoprazole was found to be 0.367 and the value of partition coefficient of drug showed that the drug was lipophilic in nature. Solvent evaporation method was found suitable for preparation of microspheres. The yield obtained in all batches was good. The size of microsphere ranged between 36.45 µm to 39.86 µm of all polymer containing microspheres. Percent entrapment of drug was between 92.24–100.24% depending on the different polymers with polymer. The in-vitro buoyancy profile also shown that prepared microspheres buoyant more than 25% upto 12 hrs. Drug loaded microspheres containing calcium alginate shows 99.24–99.99% till 24 hrs but polymer ethyl cellulose containing microspheres release 63.64–69.75% and egg albumin containing only 57.58–61.35% drug release and drug released about 58.67% after 12 hr. Floating buoyant microspheres F2 was found to be the best formulations having drug polymer combination in the ratio of 1:2 and stirring rate 300 rpm. This formulation was further formulated to the needful particle size for better retardant drug release upto 12 hr with better release profile.
Conclusion:
The formulation based on pulsatile release of drug through diffusion mechanism via microspheres showed variability in size, which is increasing with increasing polymeric concentration of same polymer.
Authors
Corresponding Author
Manisha Kumari
History
Received 10 November 2025
Revised 26 November 2025
Accepted 10 December 2025
Keywords
Floating microspheres, Buoyant microspheres, Lansoprazole, Drug entrapment efficiency, In-vitro buoyancy percentage, In-vitro drug release studies, Stability studies.
Open Access
This is an open access article under the CC BY license https://creativecommons.org/licenses/by/4.0/.
INTRODUCTION
Gastroesophageal reflux disease (GERD) is a condition in which there is the retrograde flow of gastric contents into the esophagus or beyond into the oral cavity, larynx, or lungs, resulting in esophagitis and inflammation of other affected mucosal surfaces. This condition is considered one of the most common diseases encountered by gastroenterologists and primary care clinicians. Risk factors for GERD include having a hiatus hernia, age greater than 50, body mass index >30, smoking and alcohol use, dietary factors such as fatty, spicy, and acidic foods, and decreased physical activity. Pharmacology that reduces the lower esophageal sphincter pressure, including nitrates, calcium channel blocker agents, and anticholinergics, can also contribute to gastroesophageal reflux. Most patients with GERD respond well to medication and some degree of lifestyle modification, but some with refractory disease require endoscopic or surgical intervention [1,2].
Gastro retentive systems can remain in the gastric region for several hours and hence significantly prolong the gastric residence time of drugs. Prolongation of gastric residence time (GRT) of a rate-controlled oral drug delivery system reduces inter-subject variability and the so-called “peak and valley” effect, leading to increased predictability and bioavailability of the dosage form, especially for molecules with a narrow absorption window. Moreover, the total gastrointestinal transit time is prolonged, thus, the number of dosage regimen can be reduced and solubility can be improved for drugs that are less soluble in a high pH environment [3].
Lansoprazole is a proton pump inhibitor used to help gastrointestinal ulcers heal, to treat symptoms of gastroesophageal reflux disease (GERD), to eradicate Helicobacter pylori, and to treat hyper secretory conditions such as Zollinger-Ellison Syndrome. Lansoprazole inhibits gastric acid secretion. It is a proton pump inhibitor that works by blocking the proton pump in the cells of your stomach, which decreases the amount of acid produced in your stomach. Lansoprazole is a prodrug that requires gastric acid secretion to be converted to sulfenamide or sulfenic acid. Once activated, it reacts with cysteine residues on the parietal H+ and K+ ATPase enzymes, which provides a pro-longed inhibition of acid secretion [4,5].
This study aims to formulate and evaluate floating micro-spheres of lansoprazole using natural polymers to enhance its gastric retention and therapeutic efficacy. The selection of natural polymers is important to ensure optimal floating properties, drug release kinetics, and stability of the microspheres.
MATERIALS AND METHODS
Materials
Lansoprazole was obtained from Astron Pvt. Ltd. Ahmedabad, Ethyl cellulose, Calcium alginate was obtained from Central drug house Ltd. Mumbai), Acetone was obtained from Rankem, Delhi and Liquid paraffin from Astron chemicals India.
Methods
Drug Excipients Compatibility Study by FTIR
The infrared spectra were obtained using an FTIR spectrometer. The samples were ground and mixed thoroughly with potassium bromide, an infrared transparent matrix, at 1:100 (sample/KBr). The KBr discs were prepared by compressing the powders at a pressure of 5 tons for 5 min in a hydraulic press. Scans were obtained from 3500 to 500 cm–1. The compatibility i.e. drug-excipients interaction studies are helpful for dosage form design. For compatibility studies drug / excipients ratio were selected and investigated based on the reasonable drug / excipient ratio in the final product [6].
Formulation of Buoyant Microspheres
The buoyant microspheres was prepared by using various composition of prescribe polymers (Table 1).
| S. no. | Drug as core | Polymers | Code | Core : Coat ratio |
|---|---|---|---|---|
| 1 | Lansoprazole | Calcium alginate | F1 ** | 01:02 |
| 2 | Lansoprazole | Calcium alginate | F2 * | 01:02 |
| 3 | Lansoprazole | Calcium alginate | F3 * | 01:01 |
| 4 | Lansoprazole | Ethyl cellulose | F4 ** | 01:02 |
| 5 | Lansoprazole | Ethyl cellulose | F5 * | 01:02 |
| 6 | Lansoprazole | Ethyl cellulose | F6 * | 01:01 |
| 7 | Lansoprazole | Egg albumin | F7 ** | 01:02 |
| 8 | Lansoprazole | Egg albumin | F8 * | 01:02 |
| 9 | Lansoprazole | Egg albumin | F9 * | 01:01 |
Calcium alginate: These microspheres containing calcium alginate polymer were made by dropping sodium alginate. Sodium into a calcium chloride solution, the divalent calcium ions cross link the alginate forming gelled droplets. These gel droplets can be permanently cross linked by addition to a poly lysine solution. Smaller droplets can be formed by using a pump to force until alginate through the pipette [7,8].
Ethyl cellulose: Solvent evaporation is one of the earliest methods of microsphere manufacture. The polymer and drug must be soluble in an organic solvent, frequently used organic solvent is methylene chloride. The solution containing the polymer and the drug may be dispersed in an aqueous phase to form droplets. Continuous mixing and elevated temperature were employed to evaporate the more volatile organic solvent as to leave the solid polymer drug particles suspended in the aqueous medium. It was further filtered, washed and dried [7,8].
Egg albumin: Egg albumin microspheres were prepared in a polymer drug ratio 20:1 by stirring on the magnetic stirrer, and then dispersed slowly on the solution containing liquid paraffin 100 ml on water bath. Microsphere were prepared after rotation speed of 400 to 500 rpm for 4–5 hr. Decanted the unused liquid and microspheres were washed with using petroleum ether, dried at room temperature and finally yellowish colored micro-spheres were collected [7,8].
Characterization of Buoyant Microspheres
These prepared systems was evaluated with various parameters such as the physical properties i.e., flow properties determination, particle size measurement, shape and surface morphology, percentage yield, drug entrapment efficiency, in-vitro buoyancy percentage, in-vitro drug release studies and stability studies etc [9,10].
Size and Shape of Microspheres
The size of microspheres was determined using a microscope (Olympus NWF 10x, Educational Scientific Stores, India) fitted with an ocular micrometer and stage micrometer. Scanning electron microscopy (SEM) (Philips-XL-20, The Netherlands) was performed to characterize the surface of formed micro-spheres. Microspheres were mounted directly into the sample stuband coated with gold film (∼200 nm) under reduced pressure (0.133 Pa) [9–11].
Particle size Analysis
Buoyant microspheres were studied microscopically for their size and size distribution using calibrated ocular micrometer [9–11].
Flow Properties
It was determined in terms of Carr’s index (IC) and Hauser’s ratio (HR) using following equation:
The angle of repose (θ) of the microspheres, which measures the resistance to particle flow, was determined by fixed funnel method by using following equation:
Where, 2H/D is the surface area of the free standing height of the microspheres that formed after making the microspheres flow from the glass funnel [9–11].
Drug loaded calcium alginate microspheres were powdered with using glass mortar and dissolved in 0.1 N HCl and examined spectrophotometrically at 276 nm after suitable dilution. Drug loaded ethyl cellulose microspheres 100 mg were freely powdered in a glass mortar then dichloromethane 10 ml were added to dissolve ethyl cellulose coat and 0.1 N HCl was added at 32–34°C temperature to evaporate dichloromethane. Solution was filtered, and examined spectrophotometrically at 253 nm after suitable dilution. 100 mg portion of drug loaded albumin microspheres were incubated with 15 ml of 5% HCl in absolute ethanol at 4°C for 24 hrs of incubation. The microspheres were separated by high speed centrifugation at 4000 rpm and the drug content was analysed in supernatant by UV spectrophotometrically.
The encapsulation efficiency and percent yield were calculated using the following formula:
In-vitro Buoyancy Percentage
The buoyant microspheres (0.3 g) were spreaded over the surface of USP XXIV dissolution apparatus (type II) filled with 900 ml 0.1 N hydrochloric acid containing 0.02% Tween 80. The medium was agitated with paddle rotating at 100 rpm for 12 h. The floating and the settled portion of microspheres were recovered separately. The buoyant microspheres were dried and weighed. The buoyancy percentage was calculated as the ratio of the mass of the microspheres, that remained floating and the total mass of microspheres [12–14].
In vitro Drug Release Studies in Simulated Gastrointestinal Fluids
The dissolution test of lansoprazole buoyant microspheres was carried out by the paddle type-II dissolution apparatus specified in USP XXIII. 500 mg of lansoprazole loaded microspheres was weighed accurately and gently spreaded over the surface of 900 mL of dissolution medium. The content was rotated at 100 rpm and thermostatically controlled at 37 ± 0.5°C. Perfect sink condition was prevailed during the drug dissolution. The release was tested in dissolution medium of SGF (pH 1.2). An aliquot of the release medium was withdrawn at predetermined time intervals and an equivalent amount of fresh medium was added to the release medium. The collected samples were filtered through 0.45 µm-syringe filter (Millipore millex HN) and analyzed spectrophotometrically [12–14].
RESULTS AND DISCUSSION
Lansoprazole was found to be light brownish, practically odorless, vertigo metallic taste in nature. The microscopic examination of the drug (lansoprazole) sample was crystalline powder. The particle size of unmilled powder was 101 μm. The flow of unmilled drug powder was good to excellent flow. The solubility of drug lansoprazole was very less soluble in all dissolution media and the partition coefficient of lansoprazole was found drug was lipophilic in nature.
Drug and other excipients were not incompatible with each other. Solvent evaporation method was found suitable for preparation of microspheres [15]. The yield obtained in all batches was good. The prepared microspheres showed variability in size, which is increasing with increasing polymeric concentration of same polymer. The average particle size was also having variability with variations of coating polymeric material as calcium alginate, ethyl cellulose and egg albumin. The microspheres prepared of egg albumin as coating material and stirring rate 500 rpm showed good flow property because finer droplets were prepared with increasing stirring rate.
Characterization of Buoyant Microspheres
All the micromeritics properties of prepared microspheres showed good to excellent flow property of highly viscous polymeric solutions but having large size particles. As the stirring rate during the preparation of microspheres was changed, the particle size, surface property and drug content efficiency also changed. The size of microsphere ranged between 36.45 µm to 39.86 µm of all polymer containing microspheres. The particle size distribution of prepared microspheres was uniformand narrow. Scanning electron microscopic photograph of calcium alginate containing as polymeric material with 1:1 ratio showed smoother surface than other prepared microspheres with different polymers (Figure 1).
Surface of microspheres with containing highly viscous coating material was changed to rough surface. It was found that percent entrapment of drug was between 92.24–100.24% depending on the different polymers with polymer: drug ratio. Entrapment efficiency (Table 2) of drug in prepared microspheres showed microspheres containing highly viscous coating material decrease but increase their particle size. The in-vitro buoyancy profile (Table 3) also showed that prepared microspheres buoyant more than 25% upto 12 hrs [16,17].
Figure 1 - Scanning electron microscopic of lansoprazole microspheres with calcium alginate 1:2 drug polymer ratio (F1), 1000X.
| Code | Angle of repose a (θ) | Carr’s index a (%) | Hausner’s ratio a | Particle size in davg(µm) a | Percent entrapment efficiency b |
|---|---|---|---|---|---|
| F1 ** | 21.390 + 0.671 | 13.253 + 0.624 | 1.245 + 0.013 | 36.45 ± 0.540 | 99.24 ± 1.2% |
| F2 * | 23.410 + 0.035 | 14.285 + 0.345 | 1.160 + 0.023 | 37.86 ± 0.436 | 98.46 ± 1.8% |
| F3 * | 22.820 + 0.553 | 13.496 + 0.413 | 1.142 + 0.072 | 37.15 ± 0.495 | 100.24 ± 1.6% |
| F4 ** | 25.390 + 0.308 | 13.812 + 0.823 | 1.265 + 0.062 | 37.10 ± 0.512 | 95.43 ± 1.3% |
| F5 * | 29.810 + 0.071 | 12.972 + 0.316 | 1.132 + 0.012 | 38.12 ± 0.436 | 96.65 ± 1.7% |
| F6 * | 22.520 + 0.351 | 12.359 + 0.749 | 1.134 + 0.039 | 37.95 ± 0.378 | 97.56 ± 1.5% |
| F7 ** | 23.460 + 0.421 | 10.054 + 0.613 | 1.267 + 0.013 | 38.17 ± 0.435 | 95.64 ± 1.8% |
| F8 * | 24.310 + 0.312 | 11.053 + 0.931 | 1.148 + 0.027 | 39.86 ± 0.532 | 96.83 ± 1.6% |
| F9 * | 25.310 + 0.412 | 12.053 + 0.721 | 1.145 + 0.028 | 38.24 ± 0435 | 97.43 ± 1.4% |
| F. Code | 1 hour | 4 hours | 8 hours | 12 hours |
|---|---|---|---|---|
| F1 ** | 98.41 | 97.08 | 56.04 | 25.09 |
| F2 * | 98.11 | 95.58 | 61.04 | 28.09 |
| F3 * | 98.54 | 95.64 | 41.8 | 11.17 |
| F4 ** | 99.54 | 92.49 | 49.5 | 16.21 |
| F5 * | 98.72 | 91.95 | 39.4 | 15.41 |
| F6 * | 98.45 | 86.62 | 42.7 | 16.65 |
| F7 ** | 88.34 | 75.41 | 39.2 | 17.78 |
| F8 * | 81.51 | 67.23 | 31.2 | 14.05 |
| F9 * | 85.51 | 61.23 | 30.2 | 13.78 |
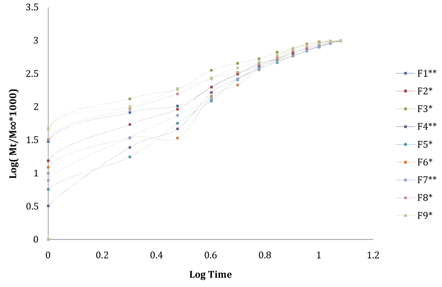
The in-vitro release profile (Table 4) obtained indicated a biphasic pattern, i.e. initial fast release of drug called ‘burst effect’ and later on a sustained release effect. Initial burst effect may be due to some drug particles on microspheres surface and later slow release due to drug diffusion from polymer matrix, which gets swollen in dissolution media. Drug loaded microspheres containing calcium alginate showed 99.24–99.99% till to 24 h but polymer ethyl cellulose containing microspheres release 63.64–69.75% and egg albumin containing microspheres 57.58–61.35% drug release. It seems drug only release after 12 h about 58.67% from capsular shell.
| Time | F1 ** | F2 * | F3 * | F4 ** | F5 * | F6 * | F7 ** | F8 * | F9 * |
|---|---|---|---|---|---|---|---|---|---|
| 0 | 0 | 0 | 0 | 0 | 0 | 0 | 0 | 0 | 0 |
| 1 | 3.01 | 1.54 | 4.71 | 0.322 | 0.571 | 1.23 | 0.781 | 3.23 | 4.68 |
| 2 | 8.23 | 5.43 | 13.21 | 2.45 | 1.76 | 3.39 | 3.45 | 9.23 | 10.12 |
| 3 | 10.34 | 9.23 | 18.68 | 4.67 | 5.67 | 3.39 | 7.46 | 15.67 | 18.34 |
| 4 | 19.87 | 19.87 | 35.67 | 16.46 | 12.34 | 14.5 | 13.23 | 26.78 | 27.45 |
| 5 | 31.23 | 31.25 | 45.27 | 26.56 | 25.67 | 21.34 | 26.56 | 33.24 | 38.54 |
| 6 | 41.34 | 44.78 | 53.25 | 38.78 | 36.45 | 37.56 | 38.34 | 44.28 | 47.65 |
| 7 | 53.37 | 52.34 | 66.34 | 49.87 | 46.78 | 58.45 | 48.34 | 53.68 | 59.67 |
| 8 | 65.78 | 64.21 | 76.54 | 59.03 | 59.04 | 74.23 | 58.34 | 69.76 | 75.6 |
| 9 | 77.45 | 74.34 | 88.74 | 71.23 | 69.34 | 86.46 | 69.87 | 79.32 | 84.34 |
| 10 | 87.32 | 82.1 | 95.37 | 81.23 | 79.67 | 93.6 | 81.26 | 89.65 | 91.23 |
| 11 | 97.51 | 92.1 | 98.12 | 91.13 | 90.23 | 98.01 | 91.36 | 94.78 | 96.99 |
| 12 | 99.24 | 99.68 | 99.99 | 98.13 | 99.01 | 99.34 | 99.21 | 99.78 | 99.98 |
Drug release pattern was evaluated in 0.1 N HCl. Release rate of F1–F9 formulations were found to be slow dissolution profile. It was found that drug release rate increased due to particle size of microspheres mainly low stirring rate respectively. Kinetics and mechanism of drug release from all formulation was evaluated on the basis of Zero order, Higuchi equation and Peppas model (Figures 2–5). Correlation coefficient (r2) and slope value for each equation in the range of (r2 = 0.752–0.937 and n = 0.568–0.785 was calculated. Zero order plots for all formulations were found to be linear in acidic solution which indicates that it may follow zero order kinetics. Higuchi plot was found to be linear, which indicates diffusion may be the mechanism of drug release for each formulation. Peppas plot was found good linear, for all formulations, indicated that drug release may follow anomalous diffusion (range = 0.993–0.998). Zero order plots for F1** and F2* formulation was found to be linear in dissolution medium, it considered as a best fit for drug release. That indicates it may follow zero order mechanism. Regression analysis was performed and the r2 values suggested that the curves were fairly linear and slope values were computed from the graph (Table 5).
| Formulation code | Zero order | Higuchi equation | Peppas equation | |||
|---|---|---|---|---|---|---|
| r2 | K0 | r2 | KH | r2 | n | |
| F1 ** | 0.951 | 1.81 | 0.989 | 6.946 | 0.937 | 1.156 |
| F2 * | 0.954 | 2.08 | 0.998 | 8.141 | 0.817 | 1.185 |
| F3 * | 0.963 | 2.86 | 0.994 | 11.04 | 0.872 | 1.169 |
| F4 ** | 0.948 | 3.49 | 0.996 | 13.66 | 0.835 | 1.134 |
| F5 * | 0.932 | 4.03 | 0.993 | 16.09 | 0.752 | 1.164 |
| F6 * | 0.964 | 4.68 | 0.996 | 18.08 | 0.822 | 1.112 |
| F7 ** | 0.956 | 5.81 | 0.998 | 22.42 | 0.833 | 1.181 |
| F8 * | 0.954 | 5.85 | 0.997 | 22.86 | 0.759 | 1.168 |
| F9 * | 0.922 | 4.61 | 0.946 | 19.07 | 0.922 | 1.112 |
Floating buoyant microspheres F2* was found to be the best formulation due to drug polymer combination in the ratio of 1:2 and stirring rate 300 rpm. This was further formulated the needful particle size for better retardant drug release upto 12 hr with better release profile [18,19].
All the micromeritics properties of prepared microspheres showed good to excellent flow property of highly viscous polymeric solutions but having large size particles (co-relation between The in-vitro buoyancy profile also shown that prepared microspheres buoyant more than 25% upto 12 hrs. Drug release pattern was evaluated in 0.1 N HCl and zero order plots for F1** and F2* formulation was found to be linear in dissolution medium, it was considered as a best fit for drug release, that indicates it may follow zero order mechanism.
Lansoprazole is a proton pump inhibitor with a bioavailability of 80% or more and protein binding of 97%. Its metabolism is mainly by liver (CYP3A4 and CYP2C19 mediated) and excretion by renal and fecal. When a floating capsule is administered to subjects who have consumed a fat and protein meal, it remains buoyant at the surface of the gastric contents in the upper part of the stomach and moves to the lower region progressively as the meal empties from the stomach. The reported gastric retention times range from 4 to 10 h. Pharmacokinetic and bioavailability evaluation studies have confirmed the favorable effect of this prolonged gastric residence time [20].
Lansoprazole floating microspheres were created and optimized in this work, among the prepared formulations both F1 and F2 were found to have the optimum properties of floating lag time, swelling index and sustained property. They distribute uniformly over the gastric fluid to avoid the vagaries of gastric emptying and release the drug for prolonged period of time. It acts by irreversibly blocking the (H+K+)-ATPase enzyme system of the gastric parietal cell. Its half life is 1–1.5 hrs with poor absorption may be because of degradation and poor solubility [21]. The solubility and absorption improved with an increase in the gastric residence time and also by creating basic pH with incorporation of sodium bi carbonate [22,23]. Lansoprazole gives a sustained release to avoid multiple dosing or to reduce the frequency of dose. The majority of research has been done to develop a formulation, i.e. a Lansoprazole sustained-release tablet, using synthetic polymer.
CONCLUSION
For the drugs like lansoprazole whose mechanism of action is proton pump inhibition gastric floating systems are best suited. When a swelling polymer is also included along with the gas generating agent it helps in extension of gastric retention and also shows slow release of the drug for prolonged period. The pulsatile buoyant micro size particulate system retains drug at the site of stomach. It is a valuable buoyant system, have the exclusive reward of multiple unit systems as well as superior floating properties. The formulation and evaluation of floating microspheres of lansoprazole using natural polymers have shown promising results with regards to their flow properties, particle size, drug entrapment efficiency, swelling behavior, and in-vitro drug release kinetics. Hence the prepared floating microspheres of lansoprazole may prove to be potential candidate for safe and effective sustained drug delivery.
Conflict of Interest
The authors declares no conflicts of interest.
Author’s Contribution
Sandeep Sahu devised the project, the main conceptual ideas, and the proof outline. Manisha Kumari worked out almost all of the technical details and performed the numerical calculations. Amrita Chourasia carried out the simulations and data collection. Anuj Kumar Asati verified the analytical methods and supervised the findings. All authors provided critical feedback and contributed to the final manuscript.
Acknowledgment
Authors appreciate the assistance of the staff at Faculty of Pharmaceutical Sciences, RKDF University, Bhopal, Madhya Pradesh and special thanks to Dr Sant Ram Lodhi for useful comments on an earlier draft.
REFERENCES
| [1] | Abrahamsson B, Alpsten M, Hugosson M, Jonsson UE, Sundgren M, Svenheden A, et al. Absorption, gastrointestinal transit, and tablet erosion of felodipine extended-release (ER) tablets. Pharm Res. 1993;10(5):709–714. Doi: 10.1023/a:1018959732744. |
| [2] | Arora S, Ali J, Ahuja A, Khar RK, Baboota S. Floating drug delivery systems: a review. AAPS Pharm Sci Tech. 2005;6(3): E372–390. Doi: 10.1208/pt060347. |
| [3] | Sen O, Manna S, Nandi G, Jana S, Jana S. Recent advances in alginate based gastroretentive technologies for drug delivery applications, Med Nov Technol Devices. 2023;18:100236. 10.1016/j.medntd.2023.100236. |
| [4] | Chien YW. Novel drug delivery system. 2nd Ed. New York: Marcel Dekker; 1997. pp. 161–163. |
| [5] | Coupe AJ, Davis SS, Evans DF, Wilding IR. Correlation of the gastric emptying of non disintegrating tablets with gastro-intestinal motility. Pharm Res. 1991;8(10):1281–1285. Doi: 10.1023/a:1015855829864. |
| [6] | Meyer JD, Manning MC, Carpenter JF. Effects of potassium bromide disk formation on the infrared spectra of dried model proteins. J Pharm Sci. 2004;93(2):496–506. Doi: 10.1002/jps.10562. PMID: 14705205. |
| [7] | Dhamecha D, Movsas R, Sano U, Menon JU. Applications of alginate microspheres in therapeutics delivery and cell culture: Past, present and future. Int J Pharm. 2019;569:118627.Doi:10.1016/j.ijpharm.2019.118627. |
| [8] | Lętocha A, Miastkowska M, Sikora E. Preparation and characteristics of alginate microparticles for food, pharmaceutical and cosmetic applications. Polymers (Basel). 2022; 14(18):3834. Doi: 10.3390/polym14183834. |
| [9] | El Nabarawi MA, Teaima MH, Abd El-Monem RA, El Nabarawy NA, Gaber DA. Formulation, release characteristics, and bioavailability study of gastroretentive floating matrix tablet and floating raft system of Mebeverine HCl. Drug Des Devel Ther. 2017;11:1081–1093. Doi: 10.2147/DDDT.S131936. |
| [10] | Fujimori J, Machida Y, Tanaka S, Nagai T. Effect of magnetically controlled gastric residence of sustained release tablets on bioavailability of acetaminophen. Inter J Pharma. 1995;119(1):47–55. Doi: 10.1016/0378-5173(94)00368-F. |
| [11] | Jafar M, Salahuddin M, Khan MSA, Alshehry Y, Alrwaili NR, Alzahrani YA, et al. Preparation and in vitro-in vivo evaluation of luteolin loaded gastroretentive microsponge for the eradication of Helicobacter pylori infections. Pharmaceutics. 2021;13(12):2094. Doi: 10.3390/pharmaceutics13122094. |
| [12] | Shailesh T, Vipul P, Girishbhai J, Manish C. Preparation and in vitro Evaluation of Ethylcellulose Coated Egg Albumin Microspheres of Diltiazem Hydrochloride. J Young Pharm. 2010;2(1):27–34. Doi: 10.4103/0975-1483.62209. |
| [13] | Rahamathulla M, Saisivam S, Alshetaili A, Hani U, Gangadharappa HV, Alshehri S, et al. Design and evaluation of losartan potassium effervescent floating matrix tablets: In vivo x-ray imaging and pharmacokinetic studies in albino rabbits. Polymers (Basel). 2021; 13(20):3476. Doi: 10.3390/polym13203476. |
| [14] | Srivastava A, Verma A, Saraf S, Jain A, Tiwari A, Panda PK, et al. Mucoadhesive gastroretentive microparticulate system for programmed delivery of famotidine and clarithromycin. J Microencapsul. 2021;38(3):151–163. Doi: 10.1080/02652048.2020.1851787. |
| [15] | Zhao S, Lv Y, Zhang JB, Wang B, Lv GJ, Ma XJ. Gastroretentive drug delivery systems for the treatment of Helicobacter pylori. World J Gastroenterol. 2014;20(28):9321–9329. Doi: 10.3748/wjg.v20.i28.9321. |
| [16] | Mathur V, Nagpal K, Singh SK, Mishra DN. Comparative release profile of sustained release matrix tablets of verapamil HCl. Int J Pharm Investig. 2013;3(1):60–65. Doi: 10.4103/2230-973X.108965. |
| [17] | Streubel A, Siepmann J, Bodmeier R. Gastroretentive drug delivery systems. Expert Opin Drug Deliv. 2006;3(2): 217–233. Doi: 10.1517/17425247.3.2.217. |
| [18] | Tolia G, Li SK. Silicone adhesive matrix of verapamil hydrochloride to provide pH-independent sustained release. AAPS Pharm Sci Tech. 2014;15(1):1–10. Doi: 10.1208/s12249-013-0004-8. |
| [19] | Patole R, Chaware B, Mohite V, Redasani V. A Review for gastro - retentive drug delivery system. Asian J Pharma Res Develop. 2023; 11(4):79–94. Doi: 10.22270/ajprd.v11i4.1291. |
| [20] | Shaha SH, Patel JK, Pundarikakshudu K. An overview of a gastro-retentive floating drug delivery system. Asian J Pharm Sci. 2009;4(1):65–80. |
| [21] | Muthusamy K, Govindarazan G, Ravi TK. Preparation and evaluation of lansoprazole floating micropellets. Int J Sci. 2005;67:75–79. |
| [22] | Goudanavar P, Reddy S, Hiremath D, Udupi R. Development and in vitro characterization of esomeprazole floating gastro retentive microspheres. J App Pharm Sci. 2013; 3(3):73–77. Doi: 10.7324/JAPS.2013.30314. |
| [23] | Sonam, Jain N, Banveer J, Formulation, Development and evaluation of gastroretentive sustained release tablets of lansoprazole using natural polymer. Journal of Drug Delivery and Therapeutics. 2021;11(5-S):108–112. Doi: 10.22270/jddt.v11i5-S.5087. |




